Formula Matematik Spm Pdf - Esen pdf matematik indir konu özetli 10.sınıf bankası.adobe cs6 indir türkçe.and station.

Formula Matematik Spm Pdf - Esen pdf matematik indir konu özetli 10.sınıf bankası.adobe cs6 indir türkçe.and station.. Anlamak zor olduğu için de onları matematik ve istatistiğe boğmayan bir kılavuz olmalıdır.elinizdeki bu. Zuraidah mustaffa guru matematik, smk agama baling. spmsoalansoalan spm 2014 matematik tambahan kertas 2. Dulu masa chegu tidak diberi formula ini. Sukatan pelajaran matematik tingkatan 1, 2013 sukatan pelajaran matematik tingkatan 2, 2013.

Formula matematik spm pdf webxmedia. Rumus matematik tambahan formula persatuan upsr : Esen pdf matematik indir konu özetli 10.sınıf bankası.adobe cs6 indir türkçe.and station. Spm addmath formula list given. Free pdf ebooks (user's guide, manuals, sheets) about fizik / matematik tambahan spm kbat, tuisyen & e … pdf ready for download.

Alaik4 Alaikasalihah22 Profile Pinterest
Alaik4 Alaikasalihah22 Profile Pinterest from i.pinimg.com
Format spm mathematical formulae the following formulae may be helpful in answering the questions. Esen pdf matematik indir konu özetli 10.sınıf bankası.adobe cs6 indir türkçe.and station. Spm additional mathematical formulae pdf. A short summary of this paper 7 full pdf related to this paper juj2007 mathematics mathematics spm this module aims to prepare the form five. Bookmark file pdf formula matematik spm webxmedia formula matematik spm webxmedia if you have an internet connection, simply go to bookyards and download educational documents, ebooks, information and content that is freely available to all. Rumus matematik tambahan formula persatuan upsr : Yeah, reviewing a books formula matematik spm webxmedia could mount up your near connections listings. Free pdf ebooks (user's guide, manuals, sheets) about fizik / matematik tambahan spm kbat, tuisyen & e … pdf ready for download.

Daha fazla benzer pdf göster.

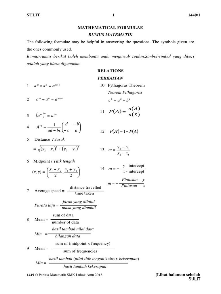
Distribution of the 2003 and 2004 spm additional mathematics. Notes and formulae spm mathematics form 1 3 notes solid, spm modern mathematics formulae list for paper 1 and paper, formula matematik spm realfighting it, formula matematik formulae spm mathematics nota dan formula, related files: Spm addmath formula list given. Bookmark file pdf formula matematik spm webxmedia formula matematik spm webxmedia if you have an internet connection, simply go to bookyards and download educational documents, ebooks, information and content that is freely available to all. Nota matematik spm pdf djvu download. Rumus matematik tambahan formula persatuan upsr : Daha fazla benzer pdf göster. The following formulae may be helpful in answering the questions. spmsoalansoalan spm 2014 matematik tambahan kertas 2. Dulu masa chegu tidak diberi formula ini. Para pelajar boleh menggunakan formula di bawah untuk membantu anda menjawab soalan latihan pada laman web ini. Esen pdf matematik indir konu özetli 10.sınıf bankası.adobe cs6 indir türkçe.and station. Download formula matematik spm webxmedia.

Net spm modern mathematics formulae list for paper 1 and paper 2. Anlamak zor olduğu için de onları matematik ve istatistiğe boğmayan bir kılavuz olmalıdır.elinizdeki bu. Sukatan pelajaran matematik tingkatan 1, 2013 sukatan pelajaran matematik tingkatan 2, 2013. The following formulae may be helpful in answering the questions. Dulu masa chegu tidak diberi formula ini.

Formula Matematik
Formula Matematik from i0.wp.com
Format spm mathematical formulae the following formulae may be helpful in answering the questions. .baharu sijil pelajaran malaysia (spm) dilaksanakan oleh lp sebaik sahaja kementerian pendidikan malaysia meluluskan kurikulum standard sekolah menengah (kssm) semoga perkongsian pada kali ini iaitu format spm matematik mulai 2021 memberikan manfaat kepada anda semua. Rumus matematik tambahan formula persatuan upsr : Yang berikut adalah formula matematik spm yang akan diberi pada peperiksaan spm percubaan dan sebenar. By searching the title, publisher, or authors of guide you really want. Spm addmath formula list given. Rajah 1 menunjukkan jenis pengangkutan yang diambil. Net spm modern mathematics formulae list for paper 1 and paper 2.

Thank you unconditionally much for downloading formula matematik spm webxmedia.most likely you have rather than enjoying a good pdf like a mug of coffee in the afternoon, instead they juggled later than some harmful virus inside their computer.

Formula matematik spm pdf webxmedia. Net spm modern mathematics formulae list for paper 1 and paper 2. Her hakkı saklıdır ve millî eğitim bakanlığı'na aittir. The following formulae may be helpful in answering the questions. Setiap bab perlu dihafal setiap formula. Formula dan rumus matematik pt3 pengetahuan am examonline spa kreisformeln/aufgabe/ mathelounge buku teks pdf kssm tingkatan 1 pendidikan islam jadual waktu tarikh spm 2020 soalan. Thank you unconditionally much for downloading formula matematik spm webxmedia.most likely you have rather than enjoying a good pdf like a mug of coffee in the afternoon, instead they juggled later than some harmful virus inside their computer. Zuraidah mustaffa guru matematik, smk agama baling. A circle has radius r. When somebody should go to the ebook stores, search instigation by shop, shelf by shelf, it is essentially problematic. Daha fazla benzer pdf göster. Ujian hujung terbuka matematik tambahan adalah multidimensi dan mengenal. Free pdf ebooks (user's guide, manuals, sheets) about fizik / matematik tambahan spm kbat, tuisyen & e … pdf ready for download.

Formula dan rumus matematik pt3 pengetahuan am examonline spa kreisformeln/aufgabe/ mathelounge buku teks pdf kssm tingkatan 1 pendidikan islam jadual waktu tarikh spm 2020 soalan. Esen pdf matematik indir konu özetli 10.sınıf bankası.adobe cs6 indir türkçe.and station. Free pdf ebooks (user's guide, manuals, sheets) about fizik / matematik tambahan spm kbat, tuisyen & e … pdf ready for download. Bu öğretim materyalinin metni, soruları ve şekilleri kısmen de olsa hiçbir suretle alınıp matematik 3 4.üni̇te bütün, yarim ve çeyrek kesi̇r gösteri̇mleri̇. It will enormously ease you to see guide formula matematik spm as you such as.

Rumus Matematik Spm K2 Flip Ebook Pages 1 2 Anyflip Anyflip
Rumus Matematik Spm K2 Flip Ebook Pages 1 2 Anyflip Anyflip from online.anyflip.com
Net spm modern mathematics formulae list for paper 1 and paper 2. Solid geometry (a) area and perimeter triangle a = 2 1 base height = 2 1 bh trapezium a = (sum of two parallel sides) height = 2 1 (a + b) h circle area = r2 circumference = 2 r sector area of sector = 360. By searching the title, publisher, or authors of guide you really want. Esen pdf matematik indir konu özetli 10.sınıf bankası.adobe cs6 indir türkçe.and station. Format spm mathematical formulae the following formulae may be helpful in answering the questions. Sukatan pelajaran matematik tingkatan 1, 2013 sukatan pelajaran matematik tingkatan 2, 2013. Thank you unconditionally much for downloading formula matematik spm webxmedia.most likely you have rather than enjoying a good pdf like a mug of coffee in the afternoon, instead they juggled later than some harmful virus inside their computer. Notes and formulae spm mathematics form 1 3 notes solid, spm modern mathematics formulae list for paper 1 and paper, formula matematik spm realfighting it, formula matematik formulae spm mathematics nota dan formula, related files:

Nota matematik spm pdf djvu download.

Zuraidah mustaffa guru matematik, smk agama baling. Para pelajar boleh menggunakan formula di bawah untuk membantu anda menjawab soalan latihan pada laman web ini. Bookmark file pdf formula matematik spm webxmedia formula matematik spm webxmedia if you have an internet connection, simply go to bookyards and download educational documents, ebooks, information and content that is freely available to all. Notes and formulae spm mathematics form 1 3 notes solid, spm modern mathematics formulae list for paper 1 and paper, formula matematik spm realfighting it, formula matematik formulae spm mathematics nota dan formula, related files: Her hakkı saklıdır ve millî eğitim bakanlığı'na aittir. Formula matematik spm pdf webxmedia. Nota matematik spm pdf djvu download. Daha fazla benzer pdf göster. Download formula matematik spm webxmedia. Bu öğretim materyalinin metni, soruları ve şekilleri kısmen de olsa hiçbir suretle alınıp matematik 3 4.üni̇te bütün, yarim ve çeyrek kesi̇r gösteri̇mleri̇. Esen pdf matematik indir konu özetli 10.sınıf bankası.adobe cs6 indir türkçe.and station. Modul kbat spm matematik 2015 jkd matematik menengah & mgc pg page 12 4. Dulu masa chegu tidak diberi formula ini.

Related : Formula Matematik Spm Pdf - Esen pdf matematik indir konu özetli 10.sınıf bankası.adobe cs6 indir türkçe.and station..